Square Root Of 40 Simplified

What Is The Square Root Of 40 Quora

What Is The Square Root Of 40 Quora

What Is The Square Root Of 40 In Radical Form Quora

What Is The Square Root Of 40 In Radical Form Quora

The Square Root Of 40 40 Simplified Simplify Square Roots Youtube

The Square Root Of 40 40 Simplified Simplify Square Roots Youtube

Find The Square Root Of 225 256 20 And The Square Root Of 40 Without A Calculator Youtube

Find The Square Root Of 225 256 20 And The Square Root Of 40 Without A Calculator Youtube

How To Find The Simplest Radical Form Quora

How To Find The Simplest Radical Form Quora

Radicals Square Roots Pdf Free Download

Radicals Square Roots Pdf Free Download

Radicals Square Roots Pdf Free Download

Let s check this width 4 10 40.

Square root of 40 simplified. To use the calculator simply type any positive or negative number into the text box. So let s actually take its prime factorization and see if any of those prime factors show up more than once. Simplified square root for 40 is 2 10. That means the square root of 9 the square root of 2 the square root of 18 the.

First we write the square root of 40 like this. We can therefore convert 40 like this. Calculate the positive principal root and negative root of positive real numbers. So 117 doesn t jump out at me as some type of a perfect square.

All the steps and work for how to simplify the square root 40 in simplest radical form solved what is the square root of 40 in simplest radical form chart maker. Square root calculator and perfect square calculator. 40 the largest perfect square of the factors of 40 is 4. 4 10 next we separate the numbers inside the.

Also tells you if the entered number is a perfect square. In mathematics a square root of a number a is a number y such that y a in other words a number y whose square the result of multiplying the number by itself or y y is a. The square root of 18 can be simplified to 3 the square root of 2 the perfect square 9 is a factor of 18. Simplifying square roots review.

Now extract and take out the square root 4. As you can see the radicals are not in their simplest form. Step by step simplification process to get square roots radical form. Free math problem solver answers your algebra geometry trigonometry calculus and statistics homework questions with step by step explanations just like a math tutor.

The free calculator will solve any square root even negative ones and you can mess around with decimals too the square root calculator below will reduce any square root to its simplest radical form as well as provide a brute force rounded approximation of any real or imaginary square root. Find the square root or the two roots including the principal root of positive and negative real numbers. Let s see if we can simplify 5 times the square root of 117. 40 has the square factor of 4.

First we will find all factors under the square root. Here is how to do that.

Square Root Of 40 40

Square Root Of 40 40

Simplest Radical Form Bundle Simplify Square Roots Activities Learning Mathematics Studying Math Learning Math

Simplest Radical Form Bundle Simplify Square Roots Activities Learning Mathematics Studying Math Learning Math

Simplifying Cube Roots Perfect Cubes And Harder Examples Youtube

Simplifying Cube Roots Perfect Cubes And Harder Examples Youtube

Square And Square Root Table Numbers 1 Through 30 Studying Math Gcse Math Math Vocabulary

Square And Square Root Table Numbers 1 Through 30 Studying Math Gcse Math Math Vocabulary

Square Cube Square Root And Cubic Root

Square Cube Square Root And Cubic Root

How To Simplify Square Roots Review Article Khan Academy

How To Simplify Square Roots Review Article Khan Academy

How To Simplify Math 3 Sqrt 3 40 4 Sqrt 3 320 Sqrt 3 5 Math Quora

How To Simplify Math 3 Sqrt 3 40 4 Sqrt 3 320 Sqrt 3 5 Math Quora

Simplifying Square Root Of 27 Math Showme

Simplifying Square Root Of 27 Math Showme

Simplifying The Square Root Of 50 Video Lesson Transcript Study Com

Simplifying The Square Root Of 50 Video Lesson Transcript Study Com

40 Of Numbers Up To 400 Have Square Roots That Can Be Simplified Find The Factors

40 Of Numbers Up To 400 Have Square Roots That Can Be Simplified Find The Factors

Simplifying Square Roots Worksheet Teaching Math College Math Math Methods

Simplifying Square Roots Worksheet Teaching Math College Math Math Methods

352 Find The Factors

352 Find The Factors

The Numbers 1 40 Are Listed Alongside Their Roots And Square Roots In This Printable Math Chart Free To Download And Print Square Roots Square Math Charts

The Numbers 1 40 Are Listed Alongside Their Roots And Square Roots In This Printable Math Chart Free To Download And Print Square Roots Square Math Charts

Understanding Square Roots 40 Math Matching Game Cards 8e14

Understanding Square Roots 40 Math Matching Game Cards 8e14

Square Roots Numbers Squared Square Roots Math Formulas Teaching Algebra

Square Roots Numbers Squared Square Roots Math Formulas Teaching Algebra

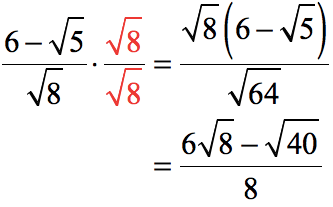
Rationalizing The Denominator Chilimath

Rationalizing The Denominator Chilimath

How To Simplify Square Roots Youtube

How To Simplify Square Roots Youtube

Simplify 2 Cube Root 40 3 Cube Root 625 4 Cube Root 320 Brainly In

Simplify 2 Cube Root 40 3 Cube Root 625 4 Cube Root 320 Brainly In

Https Encrypted Tbn0 Gstatic Com Images Q Tbn 3aand9gctw7g4anrxqtxus8wovchau0tv5zcy7ouddwho8kn8szlvyslee Usqp Cau

Https Encrypted Tbn0 Gstatic Com Images Q Tbn 3aand9gctw7g4anrxqtxus8wovchau0tv5zcy7ouddwho8kn8szlvyslee Usqp Cau

Simplifying Square Root Expressions Video Khan Academy

Simplifying Square Root Expressions Video Khan Academy

Multiplying Square Roots Worksheet Studying Math Teaching Math Math Methods

Multiplying Square Roots Worksheet Studying Math Teaching Math Math Methods

Square Root Free Printable Worksheets Worksheetfun Printable Math Worksheets Math Worksheets 7th Grade Math Worksheets

Square Root Free Printable Worksheets Worksheetfun Printable Math Worksheets Math Worksheets 7th Grade Math Worksheets

Radicals Simplifying Radicals With Mult Div Workshee Simplifying Radicals Number Worksheets Complex Numbers

Radicals Simplifying Radicals With Mult Div Workshee Simplifying Radicals Number Worksheets Complex Numbers

This Is A 20 Problem Worksheet Covering The Addition And Subtraction Of Square Studying Math Teaching Math Math Methods

This Is A 20 Problem Worksheet Covering The Addition And Subtraction Of Square Studying Math Teaching Math Math Methods

Squares And Square Roots Math School Math Notebooks Math Interactive Notebook

Squares And Square Roots Math School Math Notebooks Math Interactive Notebook

This Is A 20 Problem Worksheet Practicing Various Division Problems With Square Math Formulas Studying Math Math Methods

This Is A 20 Problem Worksheet Practicing Various Division Problems With Square Math Formulas Studying Math Math Methods

What Is The Square Root Of 41 Algebra Geometry More Youtube

What Is The Square Root Of 41 Algebra Geometry More Youtube

Simplifying 726 Find The Factors

Simplifying 726 Find The Factors

Square And Square Root Table Numbers 1 Through 30 In 2020 Online High School Probability Lessons Rational Expressions

Square And Square Root Table Numbers 1 Through 30 In 2020 Online High School Probability Lessons Rational Expressions

How To Simplify Square Roots Sqrt 96 Youtube

How To Simplify Square Roots Sqrt 96 Youtube

Rationalise The Denominator Of 40 3 Brainly In

Rationalise The Denominator Of 40 3 Brainly In

Surds

Surds

Evaluate 15 Root10 Root20 Root40 Root5 Root80 Where Root5 2 236 And Root10 3 162plzzz Ans This And I Brainly In

Evaluate 15 Root10 Root20 Root40 Root5 Root80 Where Root5 2 236 And Root10 3 162plzzz Ans This And I Brainly In

Simplifying Radicals Activity Task Cards Simplifying Radicals Simplifying Radicals Activity Maths Activities Middle School

Simplifying Radicals Activity Task Cards Simplifying Radicals Simplifying Radicals Activity Maths Activities Middle School

Simplifying Square Roots With Variables Worksheet Math Methods Square Roots Math Tricks

Simplifying Square Roots With Variables Worksheet Math Methods Square Roots Math Tricks

Simplifying Linear Expressions 40 Math Matching Game Cards 7e11 With Images Math Math Card Games Expressions

Simplifying Linear Expressions 40 Math Matching Game Cards 7e11 With Images Math Math Card Games Expressions

Circuit Training Simplifying Radical Expressions Algebra Radical Expressions Simplifying Radicals Simplifying Radical Expressions

Circuit Training Simplifying Radical Expressions Algebra Radical Expressions Simplifying Radicals Simplifying Radical Expressions

Exponents And Radicals In Algebra She Loves Math Studying Math Math Formulas Math

Exponents And Radicals In Algebra She Loves Math Studying Math Math Formulas Math

Expressions With Parentheses During Games Kids Match Expressions To Simplified Versions This Set Has 40 Printabl 5th Grade Math Elementary Math Math Centers

Expressions With Parentheses During Games Kids Match Expressions To Simplified Versions This Set Has 40 Printabl 5th Grade Math Elementary Math Math Centers

Simplifying Radicals Activity Task Cards Maths Activities Middle School Middle School Math Math Games Middle School

Simplifying Radicals Activity Task Cards Maths Activities Middle School Middle School Math Math Games Middle School

Algebra Simplifying Radical Expressions Anchor Chart I Can T Stop Saying Radical Dude In My Be School Algebra Teaching Algebra Algebra Classroom

Algebra Simplifying Radical Expressions Anchor Chart I Can T Stop Saying Radical Dude In My Be School Algebra Teaching Algebra Algebra Classroom

Teaching Square Roots And Cube Roots With Interactive Notebooks Math Interactive Notebook Math Notebooks Math Classroom

Teaching Square Roots And Cube Roots With Interactive Notebooks Math Interactive Notebook Math Notebooks Math Classroom

Building Exponents Squares Cubes And Roots Worksheet Education Com Algebra Worksheets Pre Algebra Worksheets Teaching Math

Building Exponents Squares Cubes And Roots Worksheet Education Com Algebra Worksheets Pre Algebra Worksheets Teaching Math

Https Encrypted Tbn0 Gstatic Com Images Q Tbn 3aand9gcq45vgap Xets7umdlzr4dszvcjbj7k7zkkv4pks0 Nwldwdxsj Usqp Cau

Https Encrypted Tbn0 Gstatic Com Images Q Tbn 3aand9gcq45vgap Xets7umdlzr4dszvcjbj7k7zkkv4pks0 Nwldwdxsj Usqp Cau

Source : pinterest.com